Prior to acquiring modern electroretinography (ERG) testing in my practice, I believed I had all the tools I needed to diagnose and monitor glaucoma and retinal disease. But health care is a dynamic field, and advancements in technology are happening every day. Once I educated myself on the latest developments in ERG vision testing, and subsequently implemented the technology (I use the Diopsys system in my practice), I came to realize the valuable information these results provided.
Here’s what I learned during my first 30 ERG cases.
ERG BASICS
ERG vision tests measure the electrical responses of retinal cells upon stimulation by a light source. Results provide us with an objective measurement of how those cells are functioning and help us detect subtle changes in disease progression and treatment success.
OCT imaging, optic nerve photos and fundus photos are very helpful for analyzing the health of the eye and diagnosing disease; however, these are structural tests that provide information regarding the anatomy but not regarding the physiology of the eye and how things are working. This is where objective, functional results from ERG testing fits into the diagnostic puzzle.
There are several different types of ERG vision tests, and the two that have been most valuable to me are flicker ERG and pattern ERG (PERG).
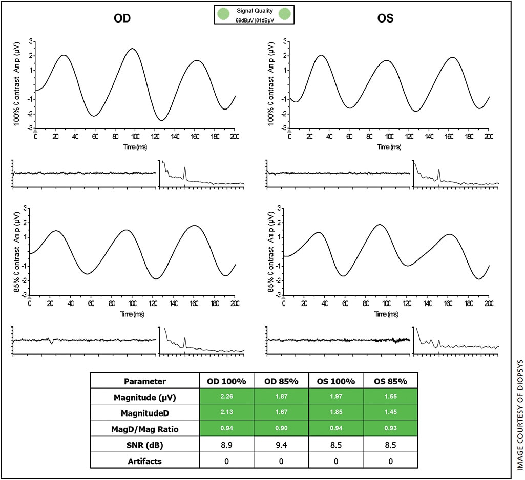
FLICKER/FULL FIELD ERG
The flicker ERG is a type of full-field ERG (ffERG) in which the patient’s retina is stimulated with a flash of light “flickering” at a fast rate. The test objectively measures the function of cone and bipolar cells, giving us a way to quantify global retinal function (Figure 1).
I rely on flicker ERG test results when evaluating patients for cataract surgery. I often have patients sent to me with mature cataracts and questionable retinal status and find flicker ERG particularly useful in these patients. The flicker ERG results help me counsel both patients and their family regarding the potential benefits of surgery. In cases where the flicker ERG results indicate poor retinal health, it’s helped me set the right expectations for post operative vision and provided an understandable explanation to patients on why they need to return for additional care.
Flicker ERG is also helpful for following retinal disease progression as well as treatment success, especially for conditions like diabetic retinopathy and retinal vein occlusions. Because results can show both functional loss and recovery, we have found that ERG provides actionable information in determining the effectiveness of injections. Flicker ERG results also help with predicting which eyes may develop ischemia.
PERG
For a PERG vision test, a black-and-white pattern on a computer screen is used to elicit an electrical response from the retinal ganglion cells, making this test indispensable in the management of glaucoma suspects and diagnosis of early glaucoma (Figure 2).
I depend on PERG vision testing in so many of the scenarios we see with glaucoma suspects. Studies have shown PERG can identify dysfunction years before structural testing will show damage,1,2 and because of this I often use the PERG results as the “tie-breaker” when other tests point in different directions. The OCT is normal, the corneas are thin, the cups are asymmetrical and the visual field is unreliable — in this case, an objective, functional test is crucial for me to understand my patient’s glaucoma diagnosis.
Additionally, for several patients, taking a reliable visual field is not an option; many patients have difficulty performing reliably on visual field tests either because of unrelated neuromuscular, systemic illness or just anxiety. Again, having a way to measure function objectively in these cases is crucial.
IMPLEMENTATION
When I started out in ophthalmology, lasers filled an entire room with cooling tanks and large cabinets that stored all of the equipment. The equipment was not particularly “user friendly,” either.
Now they are packed into a suitcase, and everyone can be trained in their use. Diopsys has done the same thing with visual electrophysiology. Their systems allow you to easily use ERG in your practice to make meaningful clinical decisions for your patients without having to be an electrophysiologist with a dedicated lab.
Clinicians sometimes inquire how long it takes to become comfortable with utilizing ERG technology. Fortunately, because of both the support from Diopsys and the reference range data that helps with electrodiagnostic interpretation, the learning curve is very short — though I’m constantly impressed that the more I use the technology the more I gain from it. Most technicians can get up to speed in administering the test with one or two days of training. Interpretation of the results is significantly easier than learning to interpret a visual field exam.
Integrating this technology into your practice is just like adding any other device and made easier when you rely on the resources the device company provides. In my case, Diopsys sent a certified ophthalmic technician into the practice for two days to work with the doctors, technicians and practice manager on how to run the test, what parameters to look for on the results, tips on testing flow and support for coding and coverage.
One of the many reasons why this technology was not used very much in the past is that all of the sensors used to record the patient’s response were cumbersome, uncomfortable and difficult to use. Diopsys’ set-up is incredibly patient-friendly through the development of patented lid sensors that sit just below the patient’s lower lash line.
Our technicians took to this testing very quickly and have become quite proficient at running the tests. Patients also accepted these tests with ease, especially when we explained to them it was like getting “an EKG for your eye.”
After our initial training, we tried doing ERG testing “on the fly” whenever we felt it would be helpful in managing or treating a patient we were seeing in the lane. However, we quickly realized the test results were helping us with so many different types of patients that we were overloading our technicians.
We changed course, and it has worked more efficiently in our practice to have an “ERG testing day” when we bring in all patients to be tested on the same day.
INTERPRETATION
One of the misunderstandings surrounding ERG is that the results are too complicated to apply to “everyday” patients.
When I was a resident, the electrophysiology lab filled almost a whole floor and had a full-time PhD. I think that’s a big reason why doctor’s unfamiliar with recent advancements in ERG are hesitant to use this technology.
Once I went through the training and tested several patients, I found that understanding the ERG results was quite intuitive. The fastest way to become comfortable with interpreting results is by familiarizing yourself with each section of the printouts.
For example, Diopsys has education material that can bring any clinician up to speed quickly, and the company provides as much support as necessary to help clinicians feel comfortable utilizing and interpreting electrodiagnostic studies. Once clinicians are comfortable, they realize that ERG results are easy to evaluate and interpret.
For me, the first step to interpreting results is very simple: green is good, yellow is caution, red is not so good. Both the flicker ERG and PERG provide this color-coding on their reports to compare a patient’s response to a group of healthy individuals, using documented reference ranges.
Next is to look at the waveform shapes. Do they look “normal”? After just 10 ERG tests, you will have a solid understanding of what the waveforms of a healthy vs. dysfunctional eye looks like.
Normal waveforms have a clearly defined sinusoidal waveform with elevated peaks — like a series of waves — hence their name “waveforms.” Abnormal waveforms look like just “gibberish” or squiggly lines with ill-defined waves and minimal peaks. Then, there are other, unique parameters to review on each of the different reports, which are clearly laid out in the training materials provided.
ADDED BENEFITS
As described above, ERG vision testing allows us to provide better care to our patients, and it has also yielded some additional, unexpected benefits. Our visual electrophysiology suite of tests has distinguished our practice amongst our colleagues in internal medicine, endocrinology and other medical subspecialties by having advanced technology that other regional practices do not have.
For example, rheumatologists have taken notice of our ability to assist their patients taking potentially retinotoxic or neurotoxic medications. The rheumatologists we work with start to get concerned after having patients on these medications more than five years and like to send them to an ophthalmologist who has access to this type of testing. We can send them a report every six or 12 months with objective results of retinal function, making it easier for them to make decisions about medication.
CONCLUSION
There is a vast body of clinical evidence to support the use of visual electrophysiology in ophthalmology. However, it has not been until the last 10 years that ERG has become practical to use in the office setting.
During my first 30 ERG cases, I learned that this technology allows me to diagnose, evaluate and manage a wide range of common conditions — glaucoma, diabetic retinopathy, cataract and more. I learned that recent advancements in the patient set-up process, not just the software, make ERG testing both patient — and technician — friendly.
And, most importantly, I learned that ERG is an invaluable tool, one that fills a need and a diagnostic capability that allows me to better serve my patients as well as my referring colleagues. OM
REFERENCES
- Banitt MR, Ventura LM, Feur WJ, et al. Progressive loss of retinal ganglion cell function precedes structural loss by several years in glaucoma suspects. Invest Ophthalmol Vis Sci. 2013;54:2346-2352.
- Porciatti V, Ventura L. The PERG as a tool for early detection and monitoring of glaucoma. Curr Ophthalmol Rep. 2017;5:7-13.







